Hobby: Building shelves... but are we earthquake-ready?


Even if you picked your pony out of the lot, it can be interesting to see how it performs against the rest of the stable.


For a home improvement project, my wife and I decided to build shelves out of plumbing fixtures and wood. It is all the rage on Etsy -- or so I am told.

Although we decided to use California Redwood (Sequoia sempervirens, for those of you about to search Wikipedia) for both aesthetic and symbolic reasons, I thought it would be interesting to see how the strength of wood varies by species. The internet is a place full of wonder and intrigue, including a dataset of wood strength. Importing into R and wrangling helped make the data easier to digest.

Figure 1 shows the result of that data. It's a good thing we selected California Redwood for something other than its mechanical properties! 

Although we can see Redwood is clearly below the inner quartile range (IQR), I thought it would be interesting to see how strength varies by species, figure 2. Median is shown by red line, with IQR captured by blue lines.

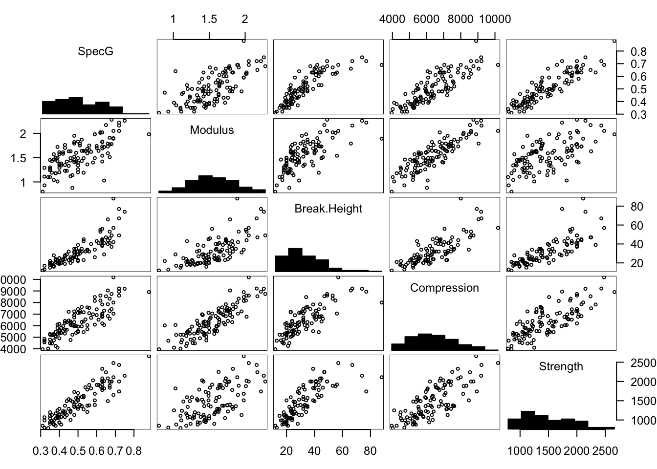
Finally, I was curious as to how well tree strength predicted other tree properties. Figure 3 shows the regressions of the mechanical properties. There are general linear trends, but with some outliers, the coefficient of determination varies -- turns out that strength is not always the best predictor of other mechanical properties.

Below is a gist file of the R markdown I wrote that parsed the data to generate these charts.  Here is a link to the knitted R markdown file. The finished product is in figure 4!

Figure 1: Redwood strength compared to other trees

Figure 2: Strength as a function of species

Figure 3: Regression of mechanical properties

Figure 4: The finished product!